12th Exam- 2024 Math and Political Science Viral Question ;– आज परीक्षा में यही प्रश्न पूछा जाएगा गारंटी जल्दी देखें
हेलो दोस्तों नमस्कार सही का स्वागत है। एक नये पोस्ट में आज बिहार बोर्ड इंटर परीक्षा में गणित और राजनीतिक शास्त्र का परीक्षा है । अर्थात Bihar Board Exam- 2024 Intermediate math and political science 2 फरवरी को गणित और राजनीतिक शास्त्र का परीक्षा लिया जा रहा है। इसमें कुछ क्वेश्चंस इस पोस्ट में आपको दिया जाएगा। जो बिल्कुल रूप से परीक्षा से मिलता रहेगा। अगर आप लोग गणित का परीक्षा अभी देने जा रहे हैं । फर्स्ट shift में यानी प्रथम पाली में तो मैथ के जो भी क्वेश्चंस दिया जाता है । उसे आप जरूर देखें इसके अलावा राजनीतिक विज्ञान में जो भी प्रश्न आपको दिया जाएगा। बिल्कुल रूप से वही सब प्रश्न आपकी परीक्षा में पूछा जाएगा सभी प्रश्न परीक्षा के लिए ही दिया गया है । अगर आप लोग सीरियसली परीक्षा में अच्छा अंक लाना चाह रहे हैं। तो पूरा पोस्ट को पढ़े और सभी क्वेश्चंस को जरूर देखकर जाएं ।ऑब्जेक्टिव कुछ देर बाद इस पोस्ट में अपडेट किया जाएगा तो परीक्षा से कुछ देर पहले भी यहां आकर आप लोग अवश्य देखें ।बिल्कुल ओरिजिनल प्रश्न भी मिल जाएगा।

Bihar Board Intermediate Exam- 2024 Highlights
| Board Name | Bihar Board School Examination Patna (BSEB) |
| Post Type | Question Papper |
| Name of the Post | Intermediate Exam Math and Political science Question |
| Category | BSEB Updates |
| Course Name | Inter (IA Isc and Icom) |
| Exam- Date | 02 February 2024 |
| Subject Name | Math and political science |
| Official Answer key | biharboardonline.bihar.gov.in |
बिहार बोर्ड वायरल क्वेश्चन सबसे पहले इस ग्रुप में दिया जाता है आप सभी छात्र जल्दी से इस ग्रुप से जुड़ जाए
| Teligram | Join Fast |
| Join Fast |
आज परीक्षा में यही प्रश्न पूछा जाएगा गारंटी जल्दी देखें
दोस्तों नीचे कुछ गणित का अभी तुरंत आया हुआ प्रश्न दिया गया है परीक्षा में इसी तरह के क्वेश्चन सबसे पूछा जाएगा बिल्कुल रूप से नीचे कुछ क्वेश्चंस का सूत्र और क्वेश्चंस बनकर दिया गया है जो अभी-अभी बनाया गया है तो याद रखिए आप लोग की परीक्षा में ऐसा ही प्रश्न अर्थात यही सब प्रश्न पूछा जाएगा तो आपको वहां पर पछताना नहीं है इसलिए बारीक से ध्यान से सभी क्वेश्चंस को देख लीजिए और इस क्वेश्चंस को लेने के लिए ऊपर व्हाट्सएप पर टेलीग्राम से पहले ज्वाइन हो जाइए आप टेलीग्राम पर सबसे पहले क्वेश्चन दिया जाता है उसके बाद व्हाट्सएप पद ग्रुप में भी दिया जाता है ।अगर बता दे आप लोग पॉलिटिकल साइंस से हैं यानी आपका राजनीतिक शास्त्र है तो उसका तो 99% वायरल क्वेश्चंस शाम में ही दे चुके हैं आप लोग अभी भी ले सकते हैं इसके लिए आपको व्हाट्सएप ग्रुप ज्वाइन हो जाना है , या टेलीग्राम ज्वाइन हो जाना है ।वहां से आपके प्रश्न मिल जाएगा बिल्कुल उसे क्वेश्चंस मिल रहा है ।जल्दी से सभी लोग ज्वाइन हो जाए।
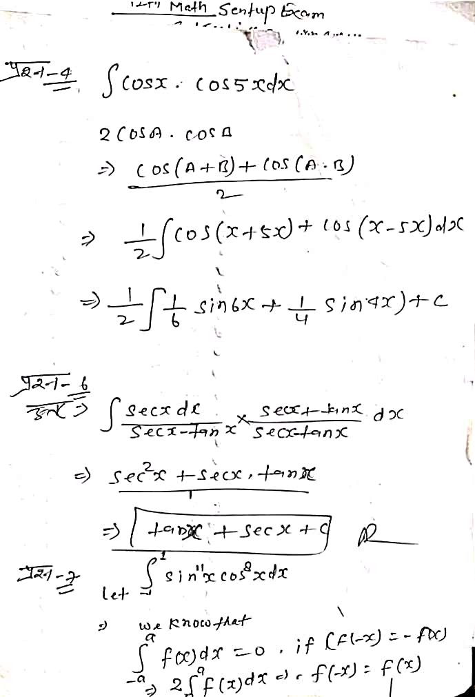
Bihar Board Intermediate Exam- Math Question



Bihar Board Intermediate Exam-, 2024 Political science Question
दोस्तों आप सभी को बता दे यहां पर पूरा क्वेश्चंस नहीं दिया जा रहा है लेकिन पीडीएफ अगर लेना चाहते थे इसके लिए आपको व्हाट्सएप ग्रुप ज्वाइन हो जाना है वहां से आपको पीडीएफ के रूप में सभी क्वेश्चन से मिल जाएगा लेकिन यहां पर जो प्रश्न दिया जा रहा है बिल्कुल उसे परीक्षा में पूछा ही जाएगा.

Important Link- s
| All Subject | Click Here |
| Download PDF | Click Here |
| Answer key | Click Here |
| Question Bank | Click Here |
| Original Question | Click Here |
| Home page | Click Here |
Summary:- आप तमाम चार छात्रों को बता दें – इस पोस्ट के माध्यम से आपको गणित और राजनीतिक शास्त्र में एक्सपर्ट के द्वारा बनाए गए गैस क्वेश्चंस दिया गया है । जो परीक्षा में पूछने की काफी संभावना होती है।
यह बिहार बोर्ड के द्वारा किसी भी प्रकार का वायरल क्वेश्चंस या कोई गलत ढंग से प्राप्त क्वेश्चन को नहीं दिया जा रहा है। इसे सकारात्मक से ले, और यह विद्यार्थियों के सहयोग के माध्यम से और पढ़ने के इच्छा को जगाने के माध्यम से कुछ क्वेश्चन दिया गया है। जो परीक्षा में पूछने की काफी संभावना है। धन्यवाद।












